Ответы
Ответ дал:
1
Ответ:
tg 3α
Объяснение:
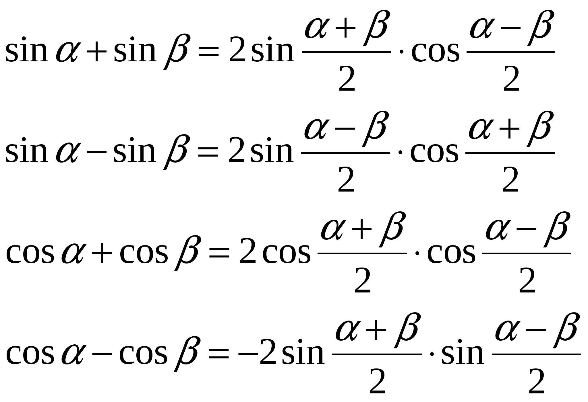
Sin α+sin 3α+sin 5α= Sin α+sin 5α+sin 3α=2 sin (α+5α)/2 *cos (α-5α)/2 + +sin 3α = 2sin 3α cos 2α+sin 3α =sin 3α(2 cos 2α +1)
cosα+cos3α+cos 5α= cosα+cos 5α +cos3α= 2 cos (α+5α)/2 * cos (α-5α)/2 + cos3α = 2cos 3α * cos 2α + cos3α =
= tg 3α
Приложения:

Вас заинтересует
2 года назад
8 лет назад
8 лет назад
9 лет назад
9 лет назад