• Предмет: Математика
  • Автор: leila58666
  • Вопрос задан 3 года назад

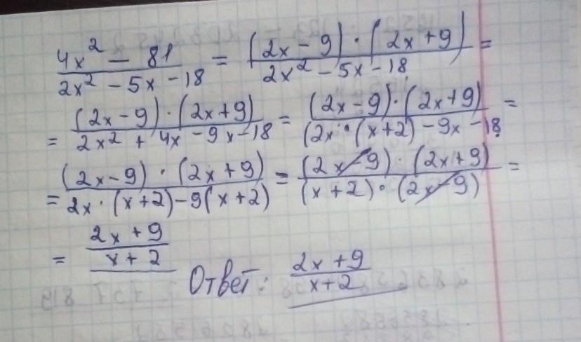
4х2 — 81/
2x2 – 5x - 18​

Ответы

Ответ дал: Аноним
2

Ответ:

 \frac{2x + 9}{x + 2}

_______________

Подробное решение вашего вопроса на фото!

_______________

Берегите себя!

Приложения:
Вас заинтересует