• Предмет: Алгебра
  • Автор: sofia8971
  • Вопрос задан 3 года назад

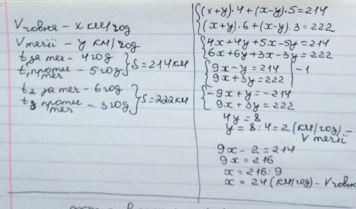
За 4 год за течією і 5 год проти течії човен пройшов 214 км, а за 6 год за
течією і 3 год проти течії пройшов 222км.Знайдіть швидкість течії.​

Ответы

Ответ дал: MarinaSkorina
0

Ответ:

Швидкість течії 2 км/год. Фото.

Приложения:
Вас заинтересует