• Предмет: Математика
  • Автор: sakhnovalerisakhno
  • Вопрос задан 3 года назад

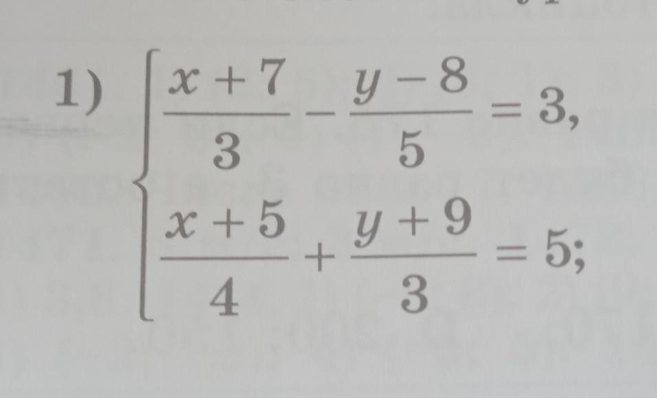
Решите системы уравнений способом сложения (можно пожалуйста в тетради запись)​

Приложения:

Ответы

Ответ дал: marusadragon
1

Ответ:

Пошаговое объяснение:

фото

Приложения:
Ответ дал: ildar502020
0

Ответ:

Пошаговое объяснение:

См. скриншот.

Приложения:
Вас заинтересует