• Предмет: Алгебра
  • Автор: nikitavlasov202020
  • Вопрос задан 3 года назад

ДАЮ 10 БАЛОВ

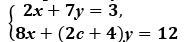
При якому значенні параметра с система
має безліч розв’язків?

Приложения:

Ответы

Ответ дал: MizoriesKun
0

Смотри........................

Приложения:
Вас заинтересует