• Предмет: Алгебра
  • Автор: HD229
  • Вопрос задан 3 года назад

СРОЧНО!!!
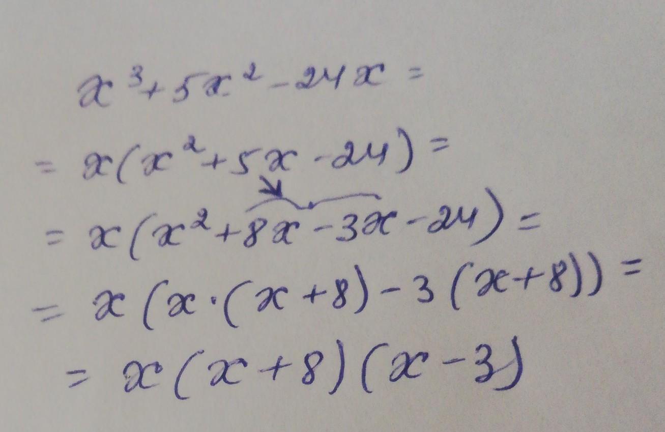
Разложите на линейные множители Х3+5х2-24х

Например х3-3х2+2х=х(х2-3х+2) = х(х-2)(х-1). Ответ: х(х-2)(х-1)

Ответы

Ответ дал: serovaksusa1
0

Ответ:

Смотри решение на фото

Приложения:
Вас заинтересует