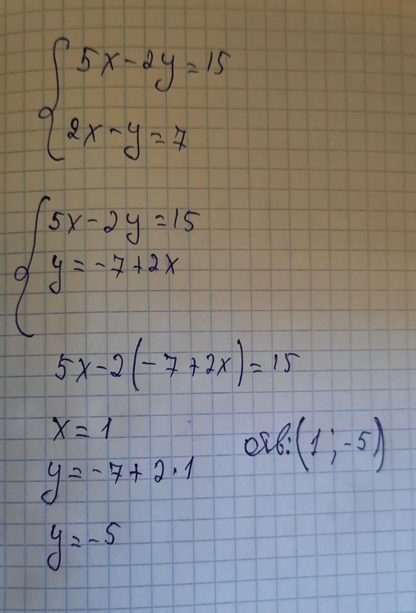
3. Решить систему уравненией способом подстановки
[5x - 2y = 15,
2х – у = 7.
Срочно даю 100 баллов
Ответы
Ответ дал:
7
Ответ:
(1;-5)
Пошаговое объяснение:
....................
Приложения:
Вас заинтересует
2 года назад
2 года назад
3 года назад
3 года назад
8 лет назад
8 лет назад
10 лет назад
10 лет назад