• Предмет: Физика
  • Автор: fulkdiscord
  • Вопрос задан 3 года назад

ДАЮ 50 БАЛЛОВ
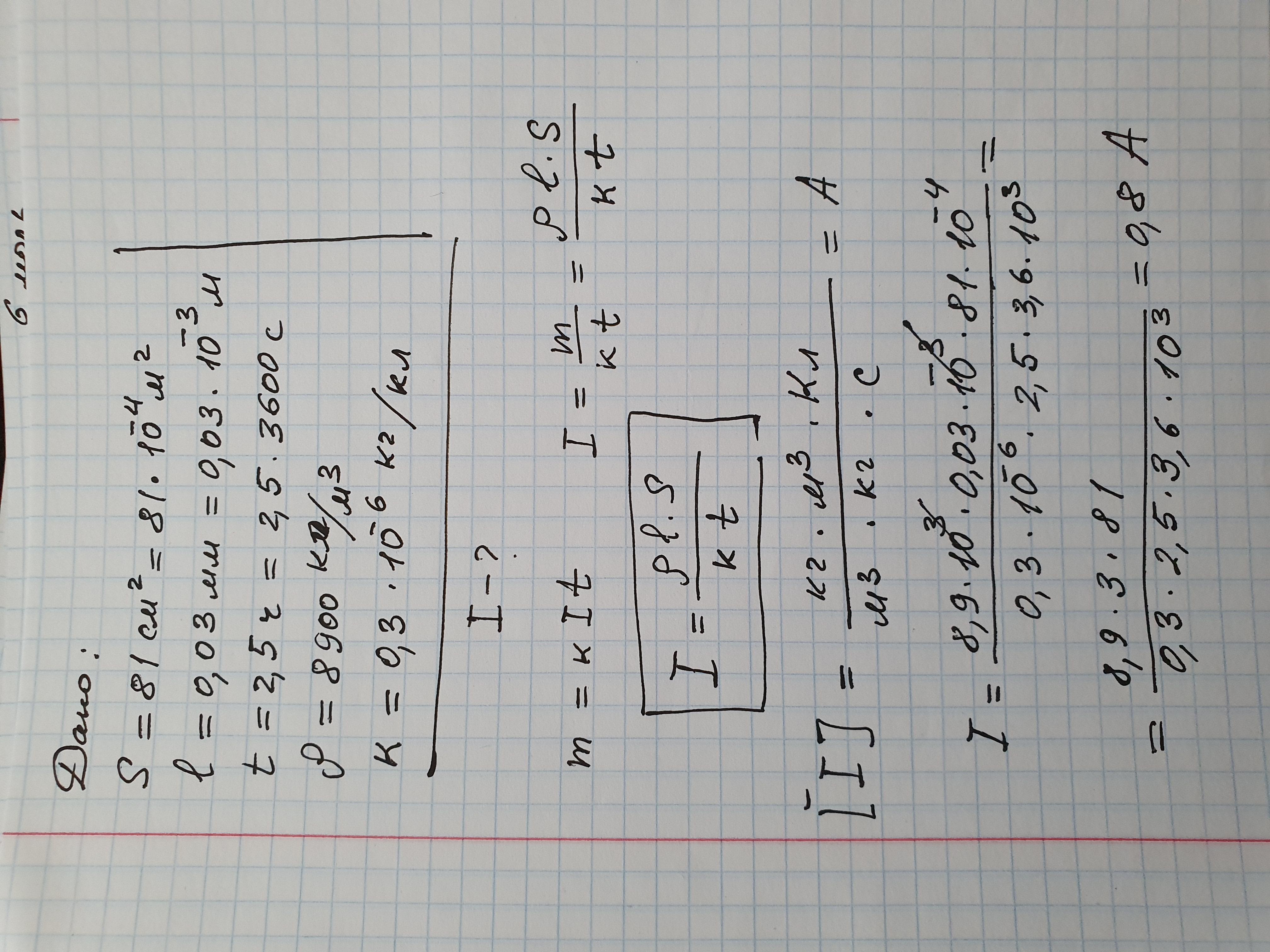
Унаслідок нікелювання пластини площею 81 см2 поверхня якої вкривається шаром нікелю завтовшки 0,03 мм. Визначте значення струму, якщо нікелювання триває 2,5 год. Густина нікелю 8900 кг/м3, електрохімічний еквівалент нікелю 0,3 мг/Кл.

Ответы

Ответ дал: alexlar30
3

Ответ:

0,8 A

Объяснение:

Приложения:
Вас заинтересует
10 лет назад