Ответы
Ответ дал:
0
Объяснение:
...._____)))))))):::))))((
Приложения:

Вас заинтересует
2 года назад
2 года назад
2 года назад
2 года назад
8 лет назад
8 лет назад
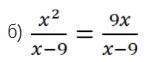
Решение уравнений нужно записать подробно.