• Предмет: Математика
  • Автор: Sophia08642
  • Вопрос задан 3 года назад

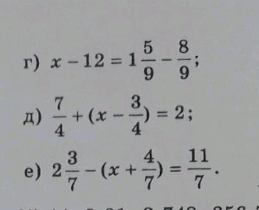
Здравствуйте! Пожалуйста помогите решить уравнение Срочно надо, уравнение Г и Е.

Приложения:

Ответы

Ответ дал: bletkppaul
1

Ответ:

г)11 4/9, е)2/7

Пошаговое объяснение:

г) переносим -12 в правую часть: х=1 5/9 - 8/+12

х=11 4/9

е)переносим 2 3/7 в правую часть: -х - 4/7=11/7 - 2 3/7

переносим -4/7 в правую часть: -х=11/7 - 2 3/7 + 4/7

-х=-2/7

домножаем на -1: х=2/7


Sophia08642: Спасибо большое
bletkppaul: не за что)
Ответ дал: panina2345
1

Ответ:

Пошаговое объяснение:

г)x-12=\frac{14}{9}-\frac{8}{9}\\ x-12=\frac{2}{3}\\x=\frac{2}{3}+12\\x=\frac{38}{3}=12\frac{2}{3}

д)\frac{7}{4}+x-\frac{3}{4}=2\\1+x=2\\x=2-1=1

e)\frac{17}{7} -x-\frac{4}{7} =\frac{11}{7}\\ \frac{13}{7} -x=\frac{11}{7}\\-x=\frac{11}{7}-\frac{13}{7}\\-x=\frac{-2}{7}\\x=\frac{2}{7}\\

Вас заинтересует