• Предмет: Алгебра
  • Автор: asanov9
  • Вопрос задан 3 года назад

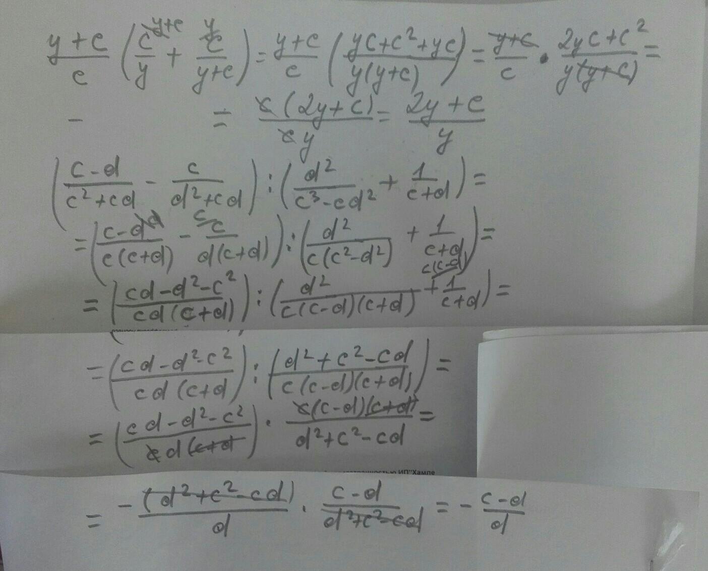
упростите выражение пожалуйста ​

Приложения:

Sserikbaev: =d-с/d

Ответы

Ответ дал: Sserikbaev
0

Ответ:

упростите выражение

выражение

Приложения:
Вас заинтересует