• Предмет: Математика
  • Автор: okci8181okci8181
  • Вопрос задан 3 года назад

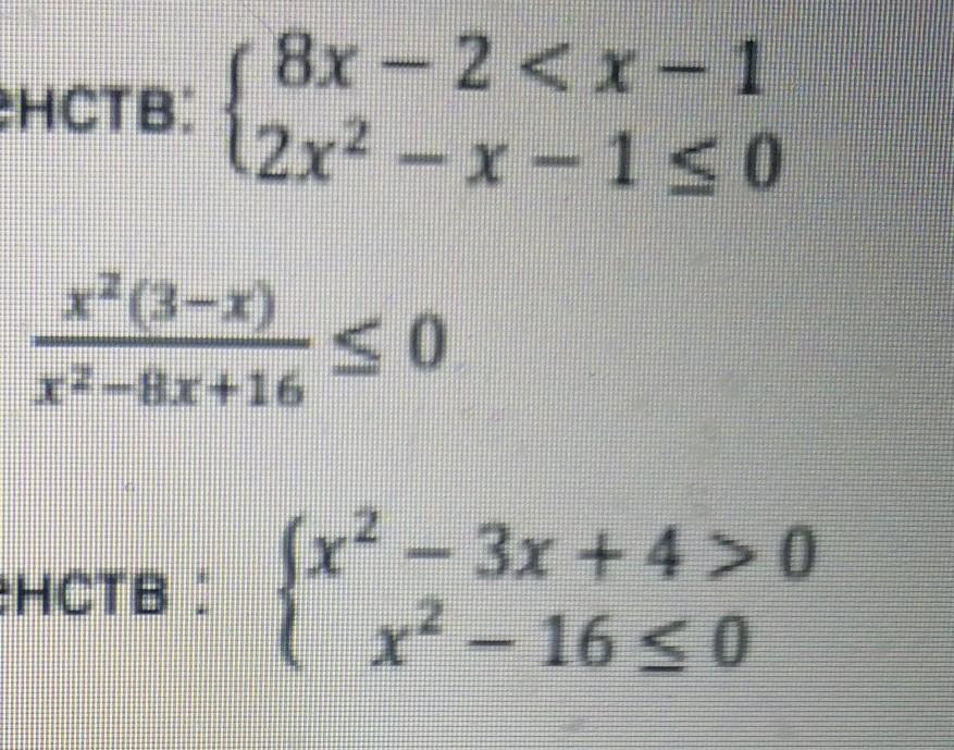
Решите систему неравенств
Без приколов я модератор​

Приложения:

tsvetkovtaa: Какую систему? Тут их 2
okci8181okci8181: любую

Ответы

Ответ дал: tsvetkovtaa
1

Ответ:

х∈(4; -4)

Пошаговое объяснение:

\left \{ {{x^2-3x+4>0} \atop {x^2-16\leq 0}} \right.

Разложим трёхчлен первого неравенства на множители, для этого найдём корни квадратного уравнения:

x^2-3x+4=0\\

D < 0 => неравенство не имеет смысла.

Разложим второе неравенство на множители:

(x-4)(x+4)\leq 0

Найдём нули каждой скобки:

4 и -4

Решим неравенство методом интервалов:

х∈(4; -4)

Вас заинтересует