• Предмет: Алгебра
  • Автор: LeoMoreli
  • Вопрос задан 3 года назад

АЛГЕБРА 40 БАЛЛОВ пп

Приложения:

Ответы

Ответ дал: Аноним
2

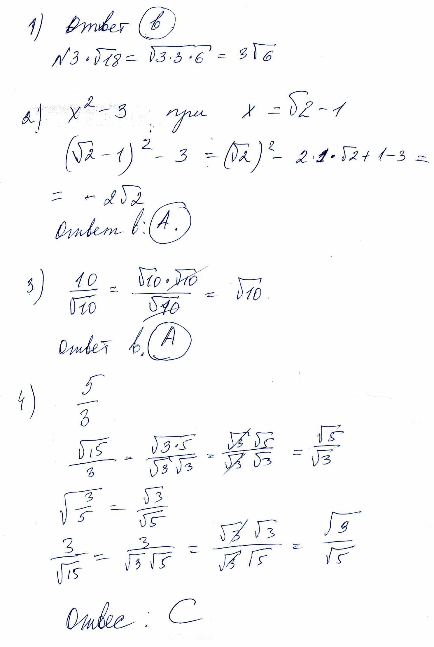
1) 2ответ b √3*√18=3√6*

2) (√2-1)²-3=2+1-3-2√2=2√2-ответ А

3) 10/√10=10√10/10=√10- ответ А  √10

4) √15/3= √5*√3/(√3)²=√5/√3- ответ С


TYYUUUY: МНЕ ПОМОГИТЕ УМОЛЯЮ ПОЖАЛУЙСТА СРОЧНО УМОЛЯЮ
marina00283: Нужна помощь по алгебре срочно
Аноним: помогите пожалуйста
Ответ дал: 55555555552187
0

Ответ:

b

Объяснение:

=\sqrt{3*3*6} =3\sqrt{6}

Приложения:
Вас заинтересует