• Предмет: Алгебра
  • Автор: 123456789078
  • Вопрос задан 11 лет назад

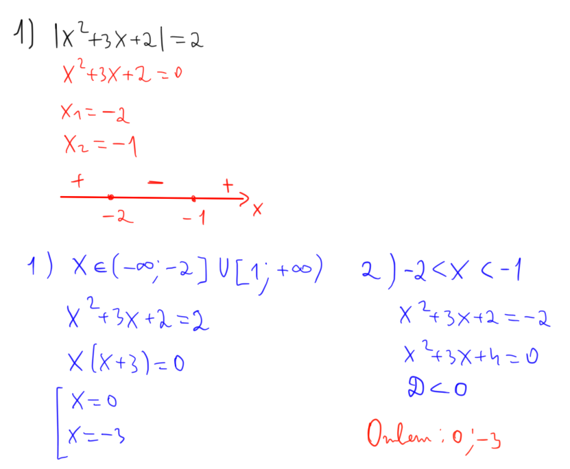
lx²+3x+2l=2
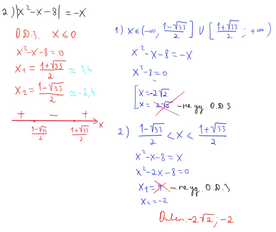
lx²-x-8l=-x
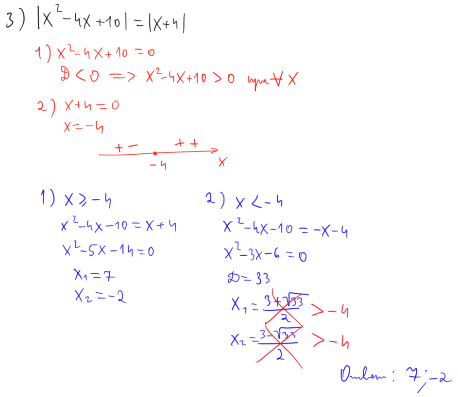
lx²-4x+10l=lx+4l
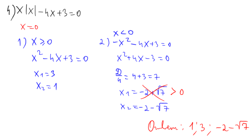
xlxl-4x+3=0

Ответы

Ответ дал: nikolac
0
Решение на картинке.
Приложения:
Вас заинтересует