Ответы
Ответ дал:
1
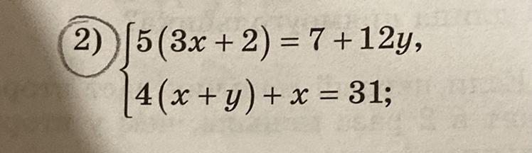
15х+10=7+12у
4х+4у+х=31
15х-12у=-3. :3
5х+4у=31
5х-4у=-1
5х+4у=31
10х=30
5х-4у=-1
Х=3
У=4
4х+4у+х=31
15х-12у=-3. :3
5х+4у=31
5х-4у=-1
5х+4у=31
10х=30
5х-4у=-1
Х=3
У=4
Вас заинтересует
2 года назад
3 года назад
3 года назад
8 лет назад
8 лет назад
10 лет назад
10 лет назад