• Предмет: Алгебра
  • Автор: jjjhdjdjsjsj
  • Вопрос задан 3 года назад

помогите пжжжжжжжж только честно​

Приложения:

Ответы

Ответ дал: serovaksusa1
0

Ответ:

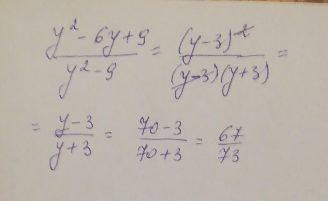
Смотри решение на фото

Приложения:
Ответ дал: chemerisyuliya00337
0
Ответ с решением на фото
Приложения:
Вас заинтересует