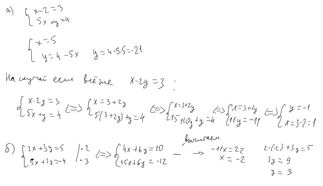
Пліс розв'яжіть систему рівнянь по фото
Даю много балов
Приложения:

Warlock1:
в а) там точно первая строчка х-2=3? Может быть х-2у=3?
Ответы
Ответ дал:
0
Ответ:
так
Объяснение:
Приложения:

Вас заинтересует
2 года назад
2 года назад
2 года назад
8 лет назад
9 лет назад