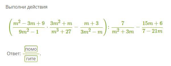
Помогите с большущим уравнением(на решение 20 минут)
Приложения:

arsen198kot:
Время почти прошло кто нибудь
Ответы
Ответ дал:
1
Ответ:
3/7
Объяснение:
извините, но это очень долго печатать, а фотографии не грузят, если нужен раскрытый ответ могу кинуть в личку
Вас заинтересует
2 года назад
2 года назад
2 года назад
8 лет назад
8 лет назад
9 лет назад