• Предмет: Геометрия
  • Автор: bazhaevainara
  • Вопрос задан 3 года назад

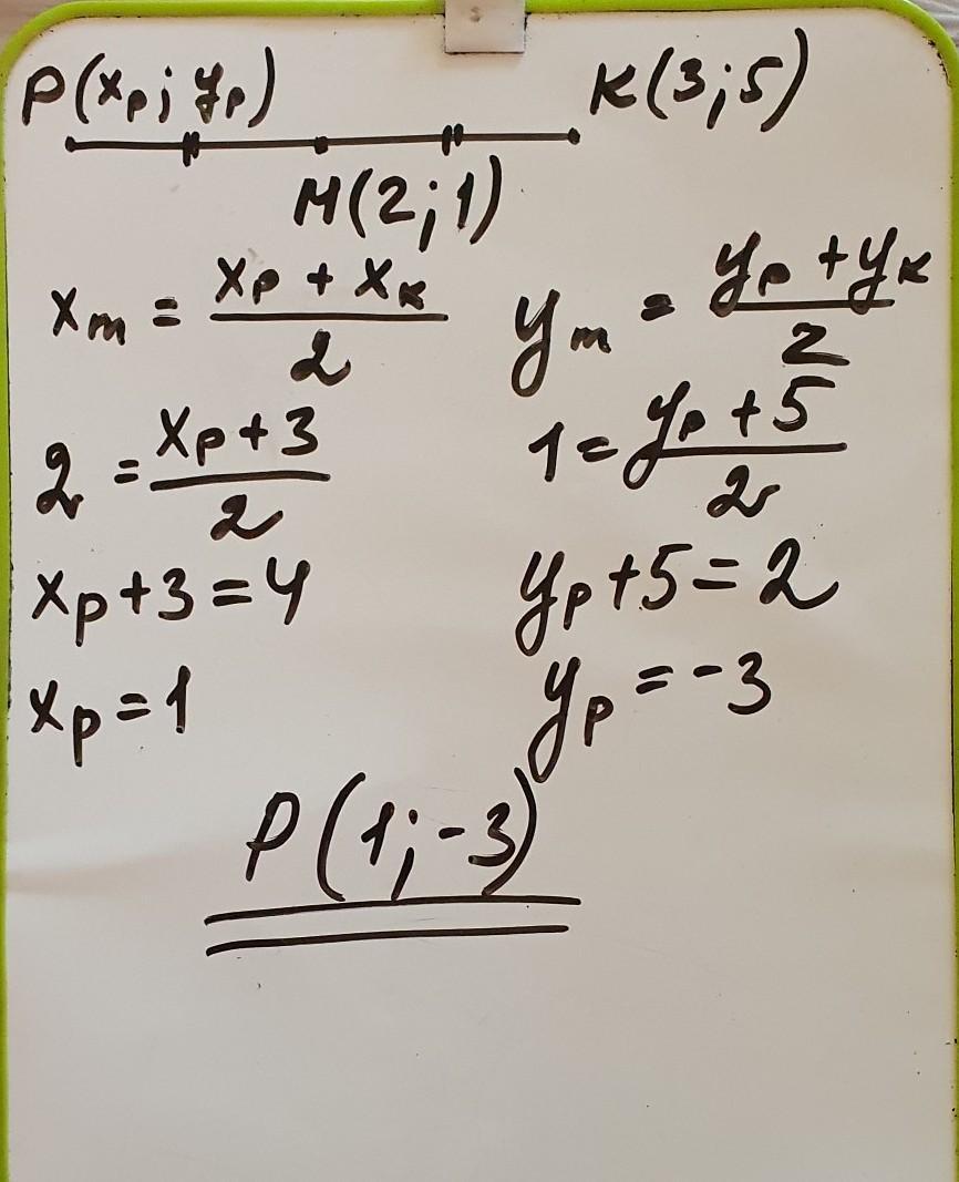
.Точка М делит отрезок РК пополам. Найдите координаты точки Р, если заданы координаты точек М(2; 1) и К (3;5). ​

Ответы

Ответ дал: oksik1970
4

Ответ:

Р(1; -3)

Объяснение:

решение двумя способами смотри на фото. Выбирай какой больше нравиться

Приложения:

bazhaevainara: спасибо)
Вас заинтересует