• Предмет: Математика
  • Автор: sofitraktr
  • Вопрос задан 3 года назад

У МЕНЯ СОР, ПОМОГИТЕ

Приложения:

maxdinnettaylor: Тебе сразу в ответах или полное решение?
sofitraktr: Уже решили
maxdinnettaylor: А, ну ладно

Ответы

Ответ дал: deleted-20187992
0

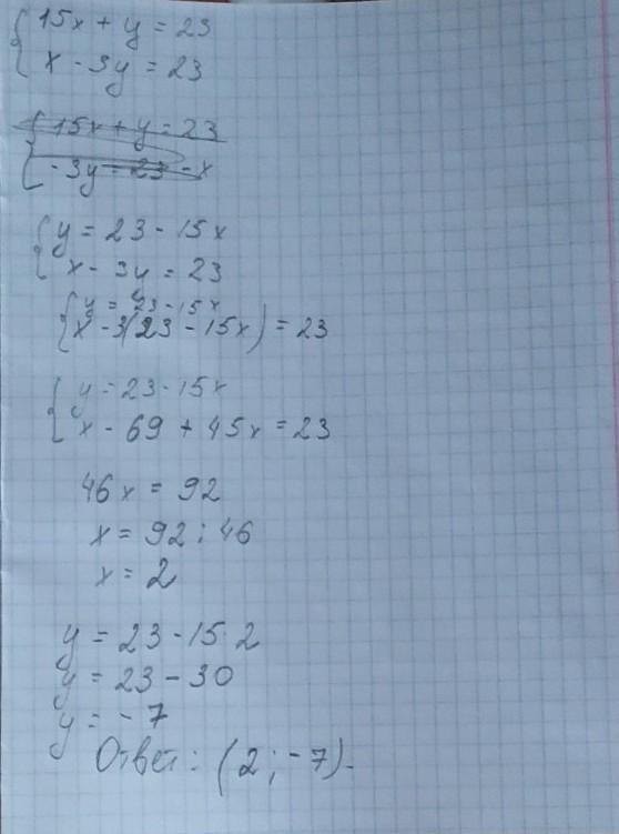
Решение на фото ----------------------------

Можно, пожалуйста, лучший ответ?

Приложения:
Вас заинтересует