• Предмет: Информатика
  • Автор: iliyaelizarof2004
  • Вопрос задан 3 года назад

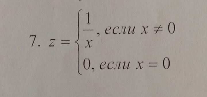
составить программу вычисления выражения:​

Приложения:

Ответы

Ответ дал: FakeDeveloper
1

Языка: Java

1.

public class MyClass {

   public static void main(String args[]) {

    double z, a = Math.random();

     

//Если число не равно нулю

     if (a!=0) {

         z = 1/a;

         System.out.println(z);

     }

 

//Если число равно нулю    

     else {

         z = 0;

         System.out.println(z);

     }

   }

}

Вас заинтересует