• Предмет: Алгебра
  • Автор: ikloo
  • Вопрос задан 11 лет назад

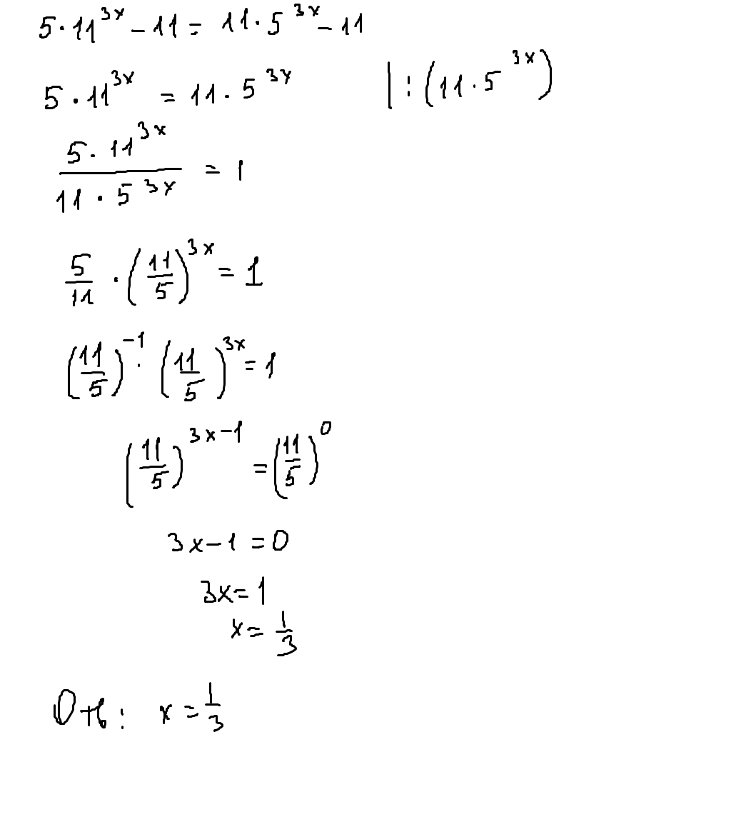
корень уравнения 5*11^3x-11=11*5^3x-11 равен 

Ответы

Ответ дал: esmilya
0
решение здесьььььььььььььььььььььььььььььь
Приложения:
Ответ дал: esmilya
0
а какое?
Ответ дал: ikloo
0
5*11^(3x-11)=11*5^(3x-11)
Ответ дал: esmilya
0
можно и лучший поставить....)))))))))
Вас заинтересует