• Предмет: Математика
  • Автор: afanas2581
  • Вопрос задан 3 года назад

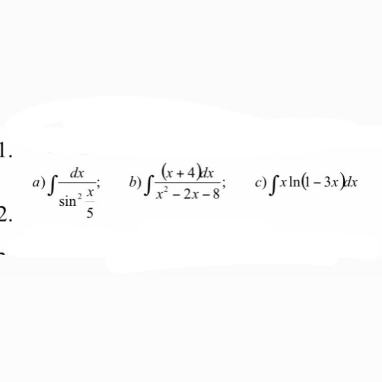
Найти неопределённые интегралы

Приложения:

Ответы

Ответ дал: Miroslava227
2

Ответ:

в

\int\limits \frac{dx}{ \sin {}^{2} ( \frac{x}{5} ) }  = 5\int\limits \frac{d( \frac{x}{5}) }{ \sin {}^{2} ( \frac{x}{5} ) }  =  - ctg( \frac{x}{5} ) + C \\

б

В числителе делаем производную знаменателя

\int\limits \frac{x + 4}{ {x}^{2} - 2x - 8 }  =  \frac{1}{2} \int\limits \frac{2x + 8}{ {x}^{2}  - 2x - 8} dx =  \\  =  \frac{1}{2} \int\limits \frac{2x - 2 + 10}{ {x}^{2}  - 2x - 8} dx =  \\  =  \frac{1}{2} \int\limits \frac{(2x - 2)dx}{ {x}^{2} - 2x - 8 }  +  \frac{1}{2} \int\limits \frac{10dx}{ {x}^{2} - 2x - 8 }  =  \\  =  \frac{1}{2} \int\limits \frac{d( {x}^{2}  - 2x - 8)}{ {x}^{2} - 2x - 8 }  + 5\int\limits \frac{dx}{ {x}^{2} - 2x + 1 - 9 }  =  \\  =  \frac{1}{2}  ln( | {x}^{2} - 2x - 8 | )  + 5\int\limits \frac{d(x - 1) }{ {(x - 1)}^{2} -  {3}^{2}  }  =  \\  =  \frac{1}{2}  ln( | {x}^{2}  - 2x - 8| )  +  \frac{5}{2 \times 3}  ln( | \frac{x - 1 - 3}{x - 1 + 3} | )  + C =  \\  =  \frac{1}{2}  ln( | {x}^{2} - 2x - 8 | )  +  \frac{5}{6}  ln( | \frac{x - 4}{x + 2} | )  + C

с

\int\limits \: x ln(1 - 3x) dx \\

По частям:

u =  ln(1 - 3x)  \:  \:  \: du =  -  \frac{3}{1 - 3x} dx \\ dv = xdx \:  \: \:  \:  \:  v =  \frac{ {x}^{2} }{2}  \\  \\ uv - \int\limits \: vdu =  \\  =  \frac{ {x}^{2} }{2}  ln(1 - 3x)  +\int\limits  \frac{ {x}^{2} }{2}  \times  \frac{3dx}{1 - 3x}  =  \\  =  \frac{ {x}^{2} }{2}  ln(1 - 3x)  +  \frac{3}{2} \int\limits \frac{ {x}^{2} dx}{1 - 3x}  =  \\  =  \frac{ {x}^{2} }{2}  ln(1 - 3x)  -  \frac{3}{ 2} \int\limits( \frac{3x + 1}{9}  +  \frac{1}{9(3x + 1)} )dx =  \\  =  \frac{ {x}^{2} }{2}  ln(1 - 3x)  -  \frac{3}{2}  \times  \frac{1}{9}  \times ( \frac{3 {x}^{2} }{2}  + x) -  \frac{1}{2}  \times  \frac{1}{9} \int\limits \frac{d(3x + 1)}{3x + 1}  =  \\  =  \frac{ {x}^{2} }{2}  ln(1 - 3x)  -  \frac{1}{18} ( \frac{3 {x}^{2} }{2}  + x) -  \frac{1}{18}  ln(3x + 1)  + C =  \\  =  \frac{ {x}^{2} }{2}  ln(1 - 3x)  -  \frac{ {x}^{2} }{12}  -  \frac{x}{18}  -  \frac{1}{18}  ln(3x + 1)  + C


Аноним: красота!!!
Аноним: Мирослава
Аноним: помогите пожалуйста
Вас заинтересует