• Предмет: Алгебра
  • Автор: toktaganvaulsa
  • Вопрос задан 3 года назад

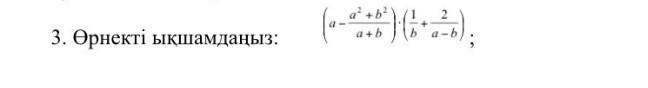
помпгите пж на это вопрос ​

Приложения:

Ответы

Ответ дал: maxsim0512
0

Ответ:

как-то так вроде правельно

Приложения:
Вас заинтересует