• Предмет: Алгебра
  • Автор: aibarqwertyuiop
  • Вопрос задан 3 года назад

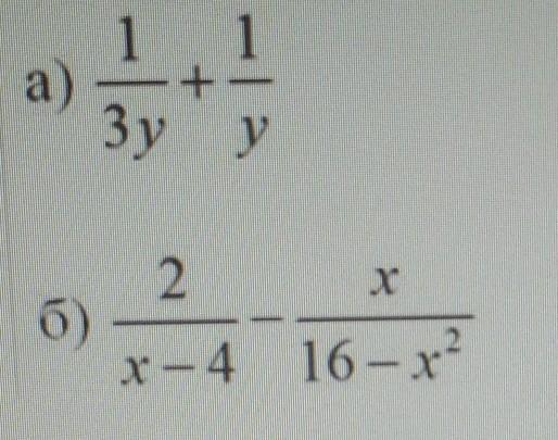
4. Выполните сложение и вычитание дробей:

a) Общий знаменатель и ответ в первом примере.

б)Общий знаменатель и ответ во втором примере.​

Приложения:

Ответы

Ответ дал: bahor06
17

вот полные решения.......

Приложения:

mirlandzhanseitov: ну я просто спросила..
bahor06: а понятно. извини если обидела
mirlandzhanseitov: нет,нет всё хорошо ты меня не обидела
mirlandzhanseitov: я просто без настроения
bahor06: а ну ок.
bahor06: какое совпадение я тоже
abylmansurzusupov: а какой общий знаменатил
lenin1917top: кто знает это правильно?
markove334: это правильно???
TsukuruDeidara01: возможно это правильно, раз уж лайки ставят
Вас заинтересует