• Предмет: Алгебра
  • Автор: dan228u
  • Вопрос задан 3 года назад

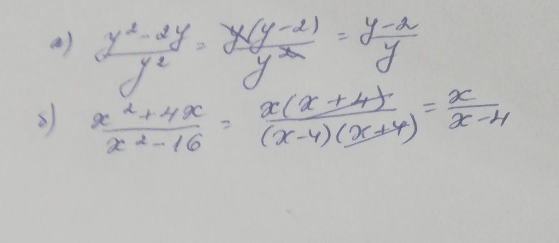
Сократите дробь
а) y^2-2y/y^2
b) x^2+4x/x^2-16

Ответы

Ответ дал: serovaksusa1
2

Ответ:

Смотри решение на фото

Приложения:
Вас заинтересует