• Предмет: Алгебра
  • Автор: amampapa22
  • Вопрос задан 3 года назад

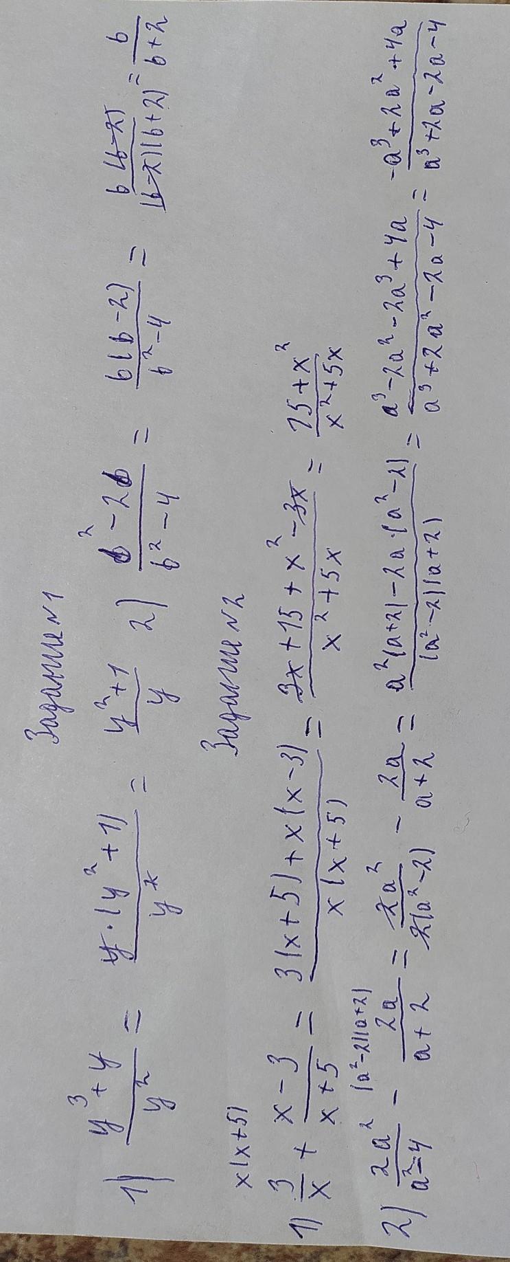
сор помогите пж пж пж пж пж​

Приложения:

Ответы

Ответ дал: azamatin2007
0

Мы использовали:

1-ФСУ а именно (a2 - b2)=(a-b)*(a+b)

2-Общий множитель, в 1 это x*(x+5), а во 2 (a2-2)*(a+2).

3-Выносили за скобки.

Приложения:

azamatin2007: 2 после a и b это квадрат!
Вас заинтересует