• Предмет: Алгебра
  • Автор: hsuga
  • Вопрос задан 3 года назад

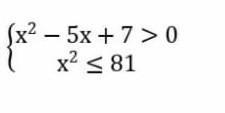
Решите неравенство помогите срочн даю 20 балл​

Приложения:

Ответы

Ответ дал: antihaiperhh
0

Ответ:

x=17,8

Объяснение:

x2=81 подстовляем место него в 1 уровнении и посчитать


antihaiperhh: x=9 извеняюсь
Вас заинтересует