• Предмет: Алгебра
  • Автор: romalyan07p5o5aj
  • Вопрос задан 3 года назад

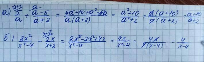
Выполните действие 5+a-5/a+a+2​

Приложения:

Ответы

Ответ дал: aksezim2907
10

Ответ:

все правильно ответ

ответ

Приложения:

romalyan07p5o5aj: спасибо
Вас заинтересует