• Предмет: Алгебра
  • Автор: pirozkovtimur66
  • Вопрос задан 3 года назад

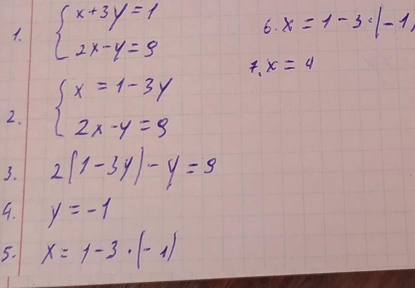
Розв'язати систему рівнянь способом підстановки x+3y=1 2x-y=9​

Ответы

Ответ дал: DimaGala2006
2

Ответ:

Ответ: x=4; y=-1.

Объяснение:

Всë на фотографии.

Приложения:
Вас заинтересует