• Предмет: Алгебра
  • Автор: gafurzhanovatakhmina
  • Вопрос задан 3 года назад

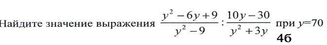
Найдите значение выражений​

Приложения:

Ответы

Ответ дал: ivankorobejnikov21
1

Ответ:

..............................................

Приложения:
Вас заинтересует