Ответы
Ответ дал:
1
Ответ:
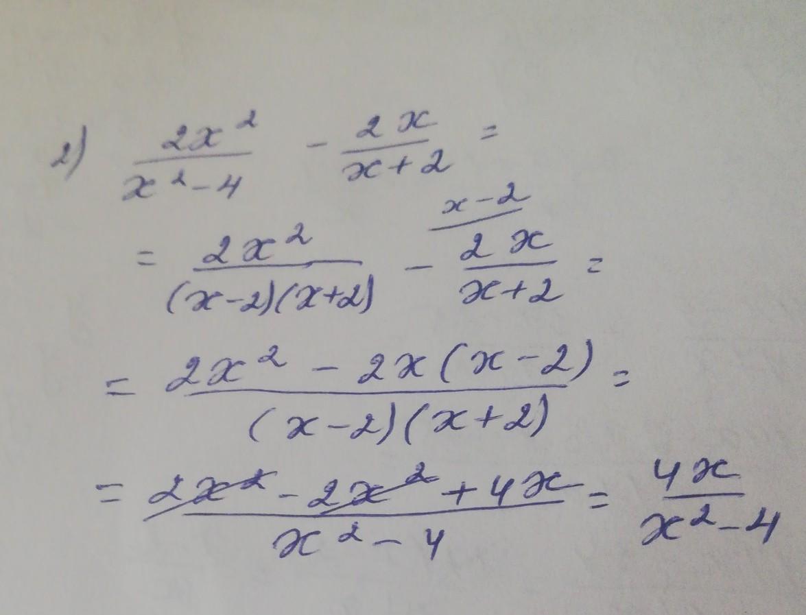
Смотри решение на фото
Приложения:


deadflitis:
спасибо
Вас заинтересует
2 года назад
2 года назад
8 лет назад
9 лет назад
9 лет назад