3. Найдите значение выражения: помогите мне пожалуйста
Приложения:

serovaksusa1:
Ксюша
Ответы
Ответ дал:
1
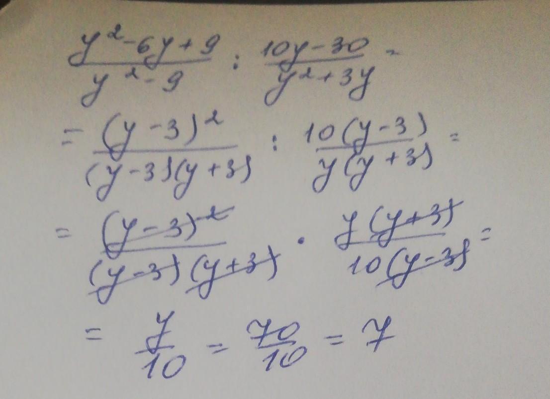
Ответ:
Смотри решение на фото
Приложения:


Вас заинтересует
2 года назад
2 года назад
8 лет назад
8 лет назад
9 лет назад
9 лет назад