• Предмет: Математика
  • Автор: exstra92
  • Вопрос задан 3 года назад


Помогите срочно со 2 заданием

Приложения:

Ответы

Ответ дал: lodyanaya2002
1

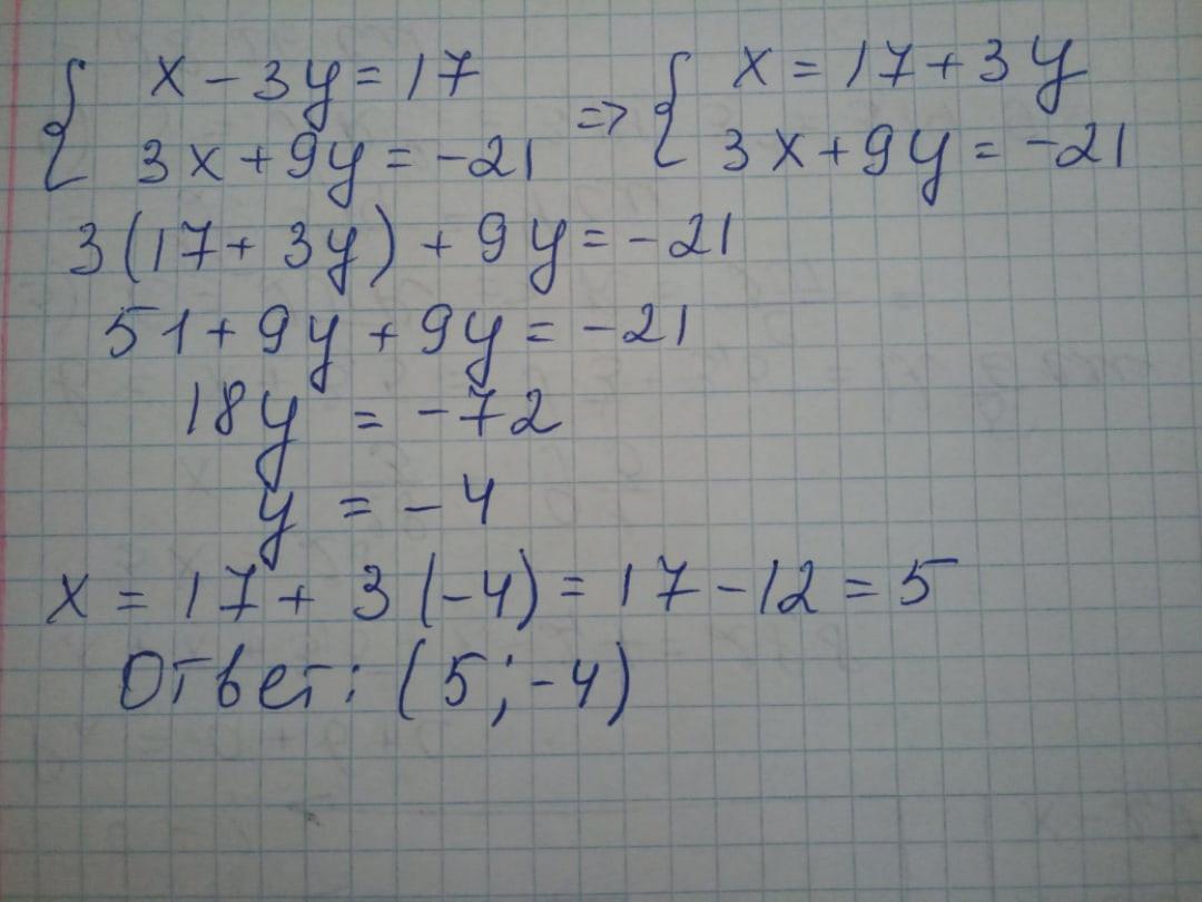
Ответ: (5; -4). Подробное решение во вложении

Приложения:
Вас заинтересует