Ответы
Ответ дал:
1
Ответ:
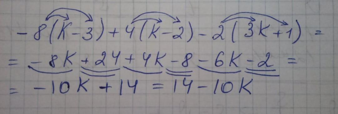
-8k+24+4k-8-6k-2=14-10k
Пошаговое объяснение:
Ответ дал:
1
Ответ: 14-10K. Необходимо раскрыть скобки и привести подобные слагаемые
Приложения:

Вас заинтересует
2 года назад
2 года назад
2 года назад
8 лет назад
8 лет назад
9 лет назад