• Предмет: Математика
  • Автор: poprpraapnng
  • Вопрос задан 3 года назад

ПРОИЗВОДНАЯ В ТОЧКЕ ПОМОГИТЕЕЕ​

Приложения:

Ответы

Ответ дал: Miroslava227
1

Ответ:

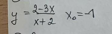
y =  \frac{2 - 3x}{x + 2}  \\

y '=  \frac{(2 - 3x)'(x + 2) - (x + 2)'(2 - 3x)}{ {(x + 2)}^{2} }  =  \\  =   \frac{ - 3(x + 2) - (2 - 3x)}{ {(x + 2)}^{2} }  =  \frac{ - 3x - 6 - 2 + 3x}{ {x + 2)}^{2} }  =  \\  =  \frac{ - 8}{ {(x + 2)}^{2} }

f'( - 1) =  \frac{ - 8}{1}   = - 8 \\

Вас заинтересует