Ответы
Ответ дал:
0
Ответ:Ответ написан в самом конце
Где красными буквами написано решение
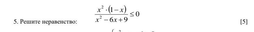
Объяснение:
Приложения:

Вас заинтересует
2 года назад
2 года назад
2 года назад
8 лет назад
8 лет назад
9 лет назад