• Предмет: Математика
  • Автор: fewserfl
  • Вопрос задан 3 года назад

Даю целых 45 баллов кто может помогите

Приложения:

Ответы

Ответ дал: lodyanaya2002
0

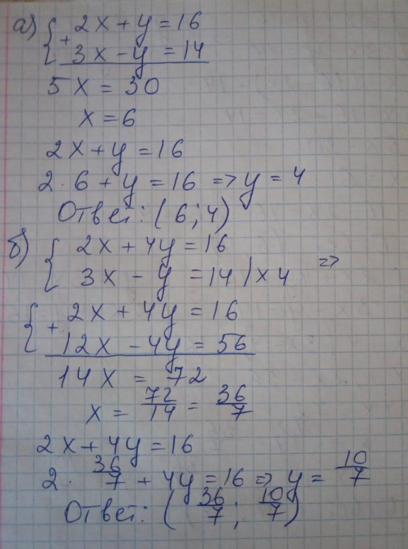
Ответ: Решение во вложении. Обе системы решены двумя способами

Приложения:
Вас заинтересует