• Предмет: Алгебра
  • Автор: Аноним
  • Вопрос задан 3 года назад

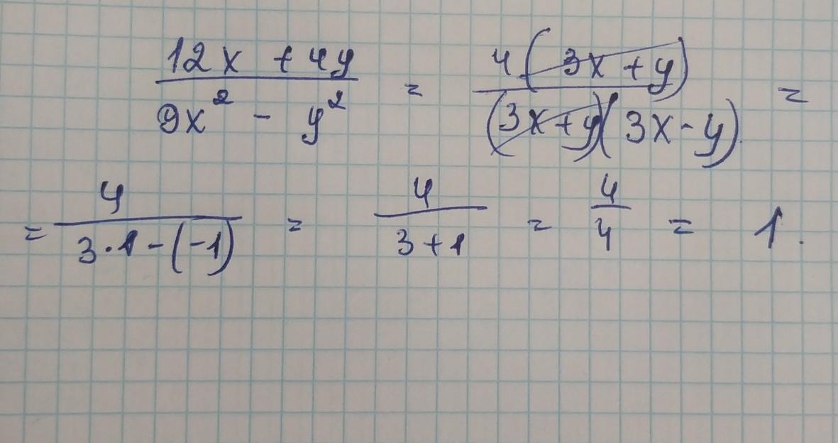
3. Упростить выражение и найти числовое значение при х=1, y=-1
12x+4y/9х^2-y^2​​

Ответы

Ответ дал: javohbekbulsinov0303
0

Ответ:

1

Объяснение:

Все показано на рисунке.

Отметьте ответ лучшим)))

Приложения:
Вас заинтересует