• Предмет: Алгебра
  • Автор: boom45
  • Вопрос задан 11 лет назад

умоляю!  помогите решить!!!! очень прошу!!!!!!!!!!!

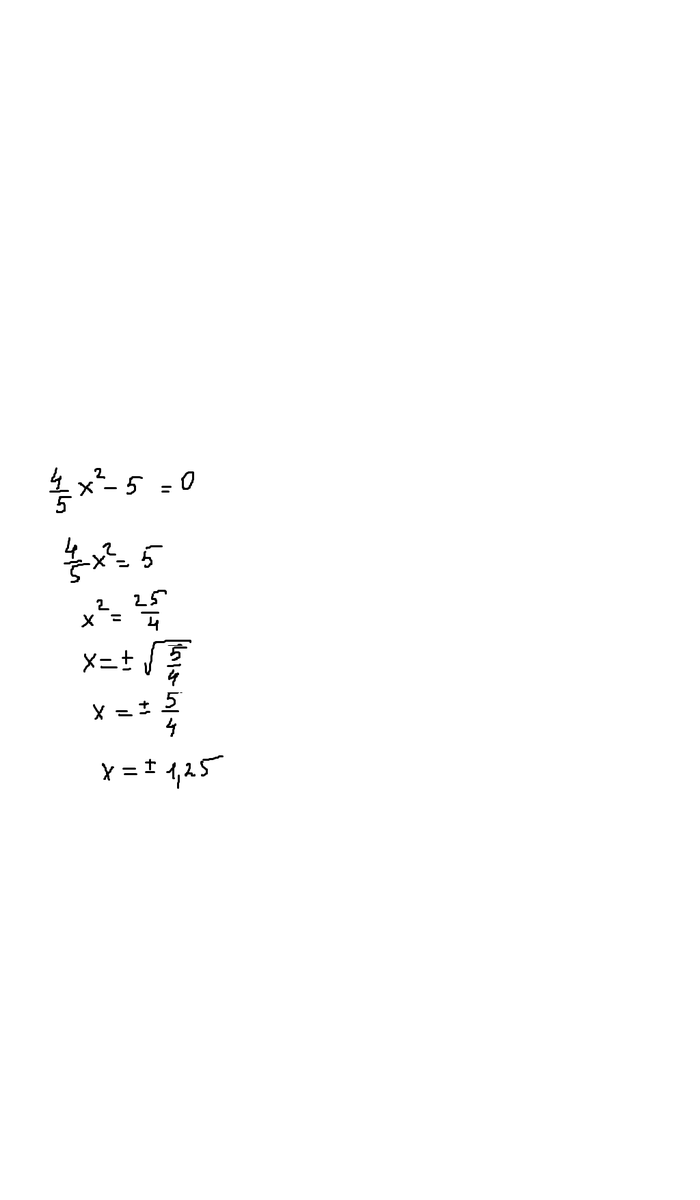
Приложения:

Ответы

Ответ дал: esmilya
0
решение здесь смотрииииииииииии
Приложения:
Ответ дал: esmilya
0
фото сохраняешь на рабочем столе , а прикрепляешь с помощью значка "СКРЕПКА"
Ответ дал: esmilya
0
я пишу в Paint, мне так удобно
Ответ дал: mmb1
0
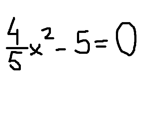
4/5x^2-5=0
4/5x^2=5
4x^2=25
x^2=25/4
!x!=5/2
x=-5/2
x=5/2
Приложения:
Вас заинтересует