Ответы
Ответ дал:
1
Ответ:
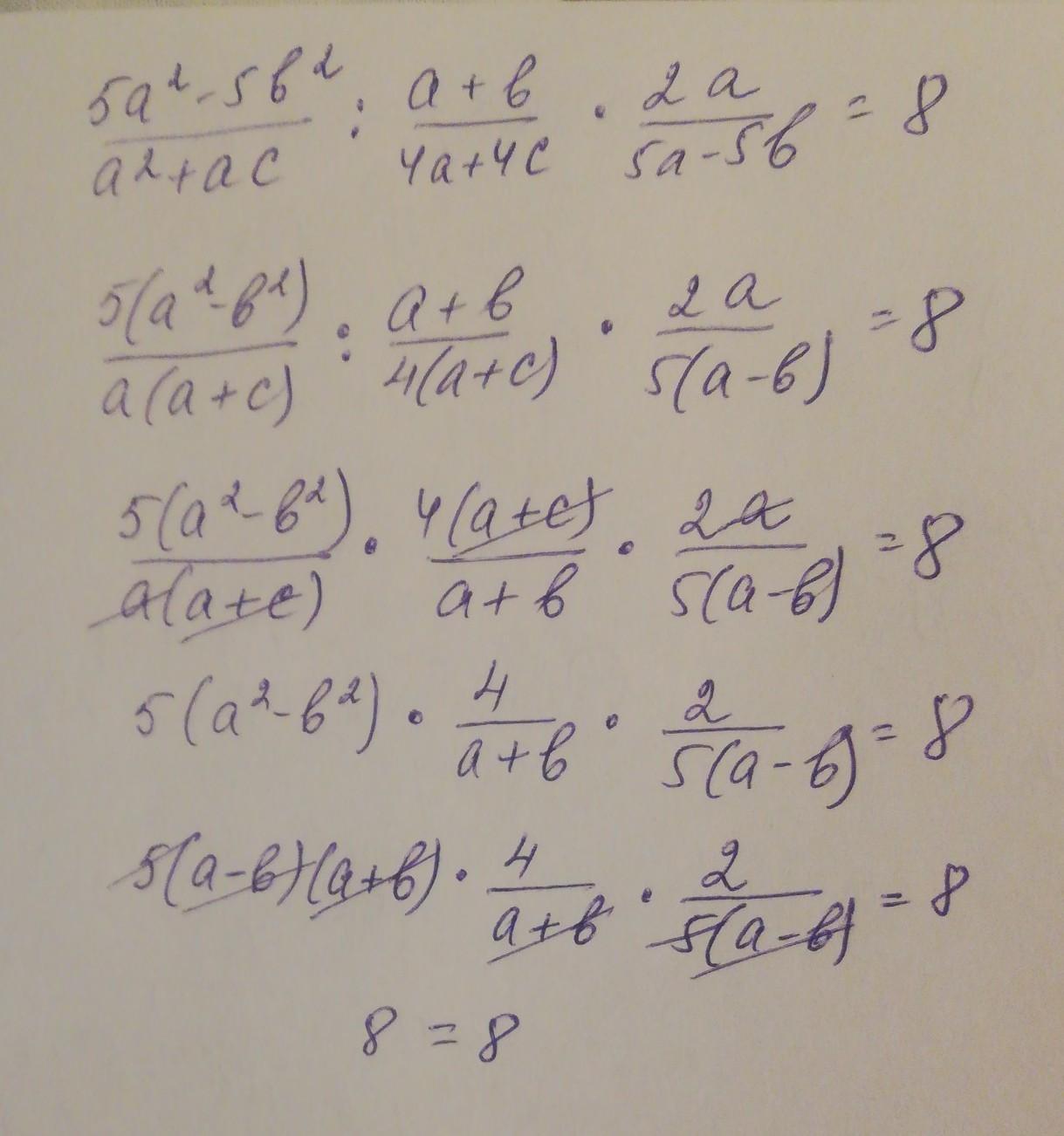
Смотри решение на фото
Приложения:

novikovasn8:
спасибо огромное
Вас заинтересует
2 года назад
2 года назад
8 лет назад
9 лет назад