Ответы
Ответ дал:
0
Ответ:
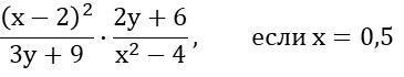
Вот ответ! Надеюсь что помог!
Приложения:

Аноним:
спасибо
Ответ дал:
1
Вас заинтересует
2 года назад
2 года назад
2 года назад
2 года назад
8 лет назад
9 лет назад
9 лет назад