• Предмет: Математика
  • Автор: dipseydipsey
  • Вопрос задан 3 года назад

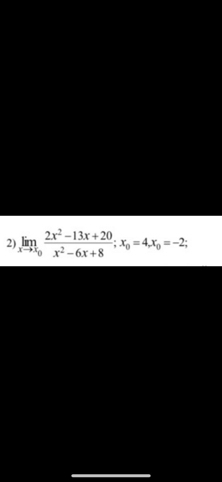
50 баллов. Найти предел, не пользуясь правилом Лопиталя

Приложения:

Ответы

Ответ дал: elkakrav
2

Ответ:

При x_{0} = 4

\lim_{x \to \ x_{0} }(2 - \frac{1}{(x+2)})= \lim_{x \to \4 }(2 - \frac{1}{6})=1\frac{5}{6}

При x_{0} = -2

\lim_{x \to \ x_{0} }(2 - \frac{1}{(x+2)})= 2-∞= -∞

Пошаговое объяснение:

\lim_{x \to \x_{0} }\frac{2x^{2} -13x+20}{x^{2} -6x+8} = \lim_{x \to \ x_{0} }\frac{2x^{2} -12x+16-x+4}{x^{2} -6x+8} = \lim_{x \to \ x_{0} }(2 - \frac{x-4}{x^{2} -6x+8})=\lim_{x \to \ x_{0} }(2 - \frac{x-4}{(x-4)(x+2)}) = \lim_{x \to \ x_{0} }(2 - \frac{1}{(x+2)})

При x_{0} = 4

\lim_{x \to \ x_{0} }(2 - \frac{1}{(x+2)})= \lim_{x \to \4 }(2 - \frac{1}{6})=1\frac{5}{6}

При x_{0} = -2

\lim_{x \to \ x_{0} }(2 - \frac{1}{(x+2)})= 2-∞= -∞


elkakrav: Поставьте мне, пожалуйста, лучший ответ)
Вас заинтересует