• Предмет: Алгебра
  • Автор: lola13r111lola
  • Вопрос задан 3 года назад

помогите дам 50 балов пжжжжжжжжжжжж

Приложения:

Ответы

Ответ дал: Sserikbaev
1

sfhfwruhxfgcjyxudhgc khcgrzyvjbk k

Приложения:
Ответ дал: Universalka
1

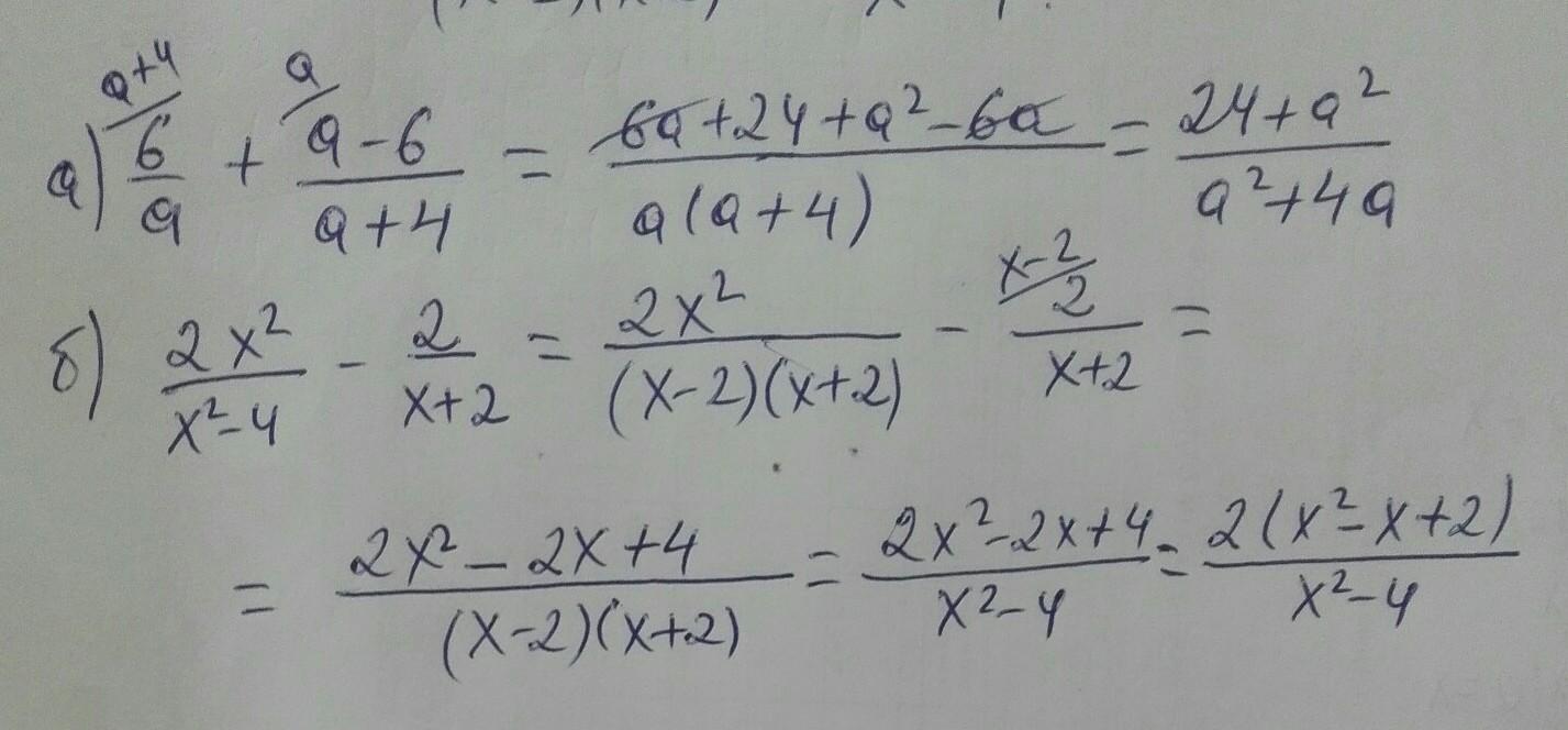
1)\frac{6}{a} +\frac{a-6}{a+4}=\frac{6*(a+4)+a*(a-6)}{a(a+4)}=\frac{6a+24+a^{2}-6a }{a(a+4)}=\boxed{\frac{a^{2}+24 }{a(a+4)}}\\\\\\2)\frac{2x^{2} }{x^{2}-4 }-\frac{2x}{x+2}=\frac{2x^{2} }{(x+2)(x-2)}-\frac{2x}{x+2}=\frac{2x^{2}-2x*(x-2) }{(x+2)(x-2)}=\\\\=\frac{2x^{2}-2x^{2}+4x}{(x+2)(x-2)}=\boxed{\frac{4x}{x^{2}-4 }}

Вас заинтересует