• Предмет: Алгебра
  • Автор: egor4646
  • Вопрос задан 3 года назад

Нужна помощь Пожалуйста
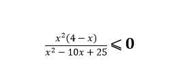
РЕШИТЕ НЕРАВЕНСТВО

Приложения:

Ответы

Ответ дал: Miroslava227
0

Ответ:

решение на фотографии.

Приложения:
Вас заинтересует