• Предмет: Алгебра
  • Автор: KovaNastya
  • Вопрос задан 11 лет назад

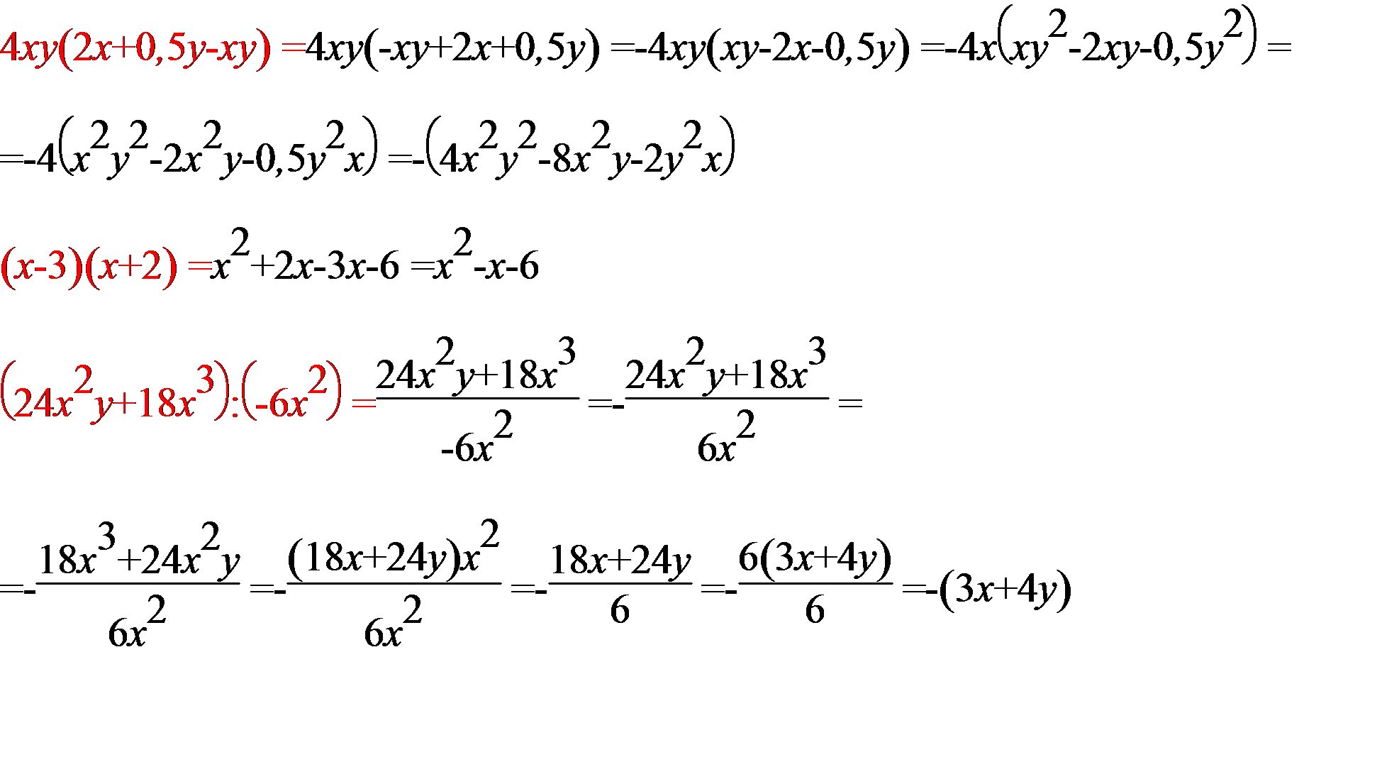
Преобразуйте заданное выражение в многочлен стандартного вида: а) 4xy(2x + 0,5y - xy) б) (x - 3)(x + 2) в) (24x^2y + 18 x^3) : (-6x^2)

Ответы

Ответ дал: triolana
0

файл

----------------------------------

Приложения:
Ответ дал: КЮра
0

а) 4ху(2х+0,5у-ху)  = 8х^2у+2ху^2-4х^2у^2

б) (x - 3)(x + 2) = х^2-3х+2х-6 = х^2-х-6

в) (24x^2y + 18 x^3) : (-6x^2) = 6х^2(4у+3х) : (-6x^2) = -(4у+3х) = 3х-4у

Приложения:
Вас заинтересует