• Предмет: Алгебра
  • Автор: kittyrulit228
  • Вопрос задан 3 года назад

СРОЧНОООО!!!
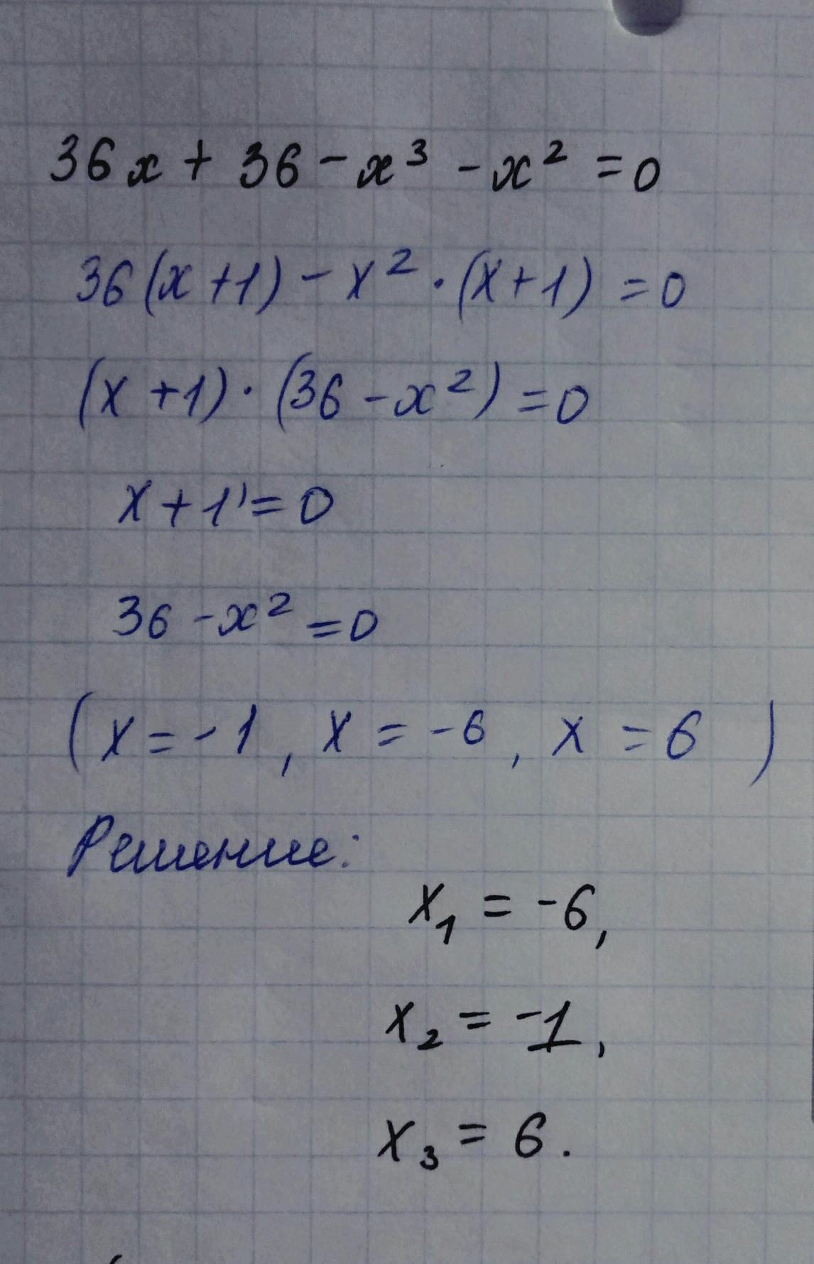
Реши уравнение 36x+36−x3−x2=0.

x1=
;x2=
;x3=
.
(Запиши корни уравнения в окошках в порядке возрастания.)


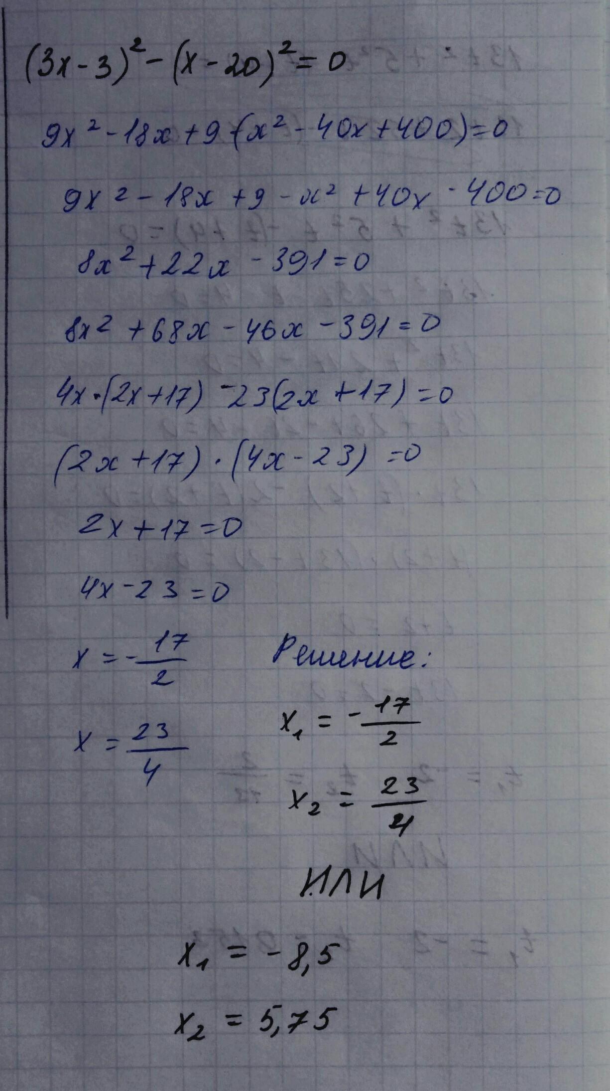
Реши уравнение:
(3x−3)2−(x−20)2=0.
(Первым впиши меньший корень. Если значение корня — дробь, то ответ запиши в виде десятичной дроби.)

Ответ:
x1=
;x2=



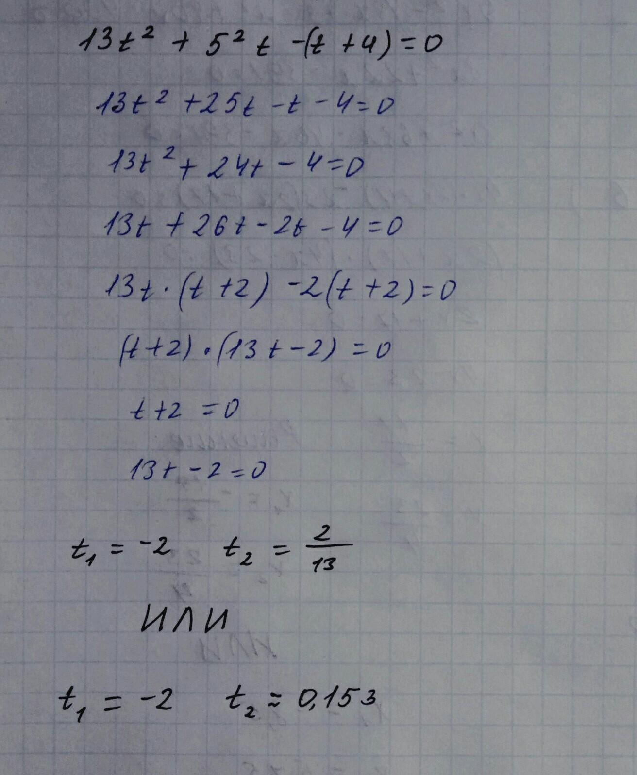
Реши уравнение:
13t2+52t−(t+4)=0.

Корни уравнения
t1=
;t2=
.


Разложи на множители:
2x4v2−16xv5.

Выбери правильный ответ:
другой ответ
2xv2⋅(x−2v)⋅(x2+4xv+4v2)
2xv2⋅(x−2v)⋅(x2+2xv+4v2)
2xv2⋅(x+2v)⋅(x2−2xv+4v2)
2xv2⋅(x−2v)⋅(x+2v)

Ответы

Ответ дал: dayana24sh
1

Ответ:

во вложений

.............

Приложения:
Вас заинтересует