• Предмет: Математика
  • Автор: ajmikonkedejkanovy
  • Вопрос задан 3 года назад

Очень нужно !!!!!!!!​

Приложения:

Ответы

Ответ дал: juliazhilina07
0

Ответ:

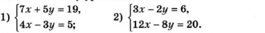
1) (2;1); 2) (0;3) должно быть правильно


ajmikonkedejkanovy: у вас неправельно
ajmikonkedejkanovy: но спасибо
Вас заинтересует