Ответы
Ответ дал:
2
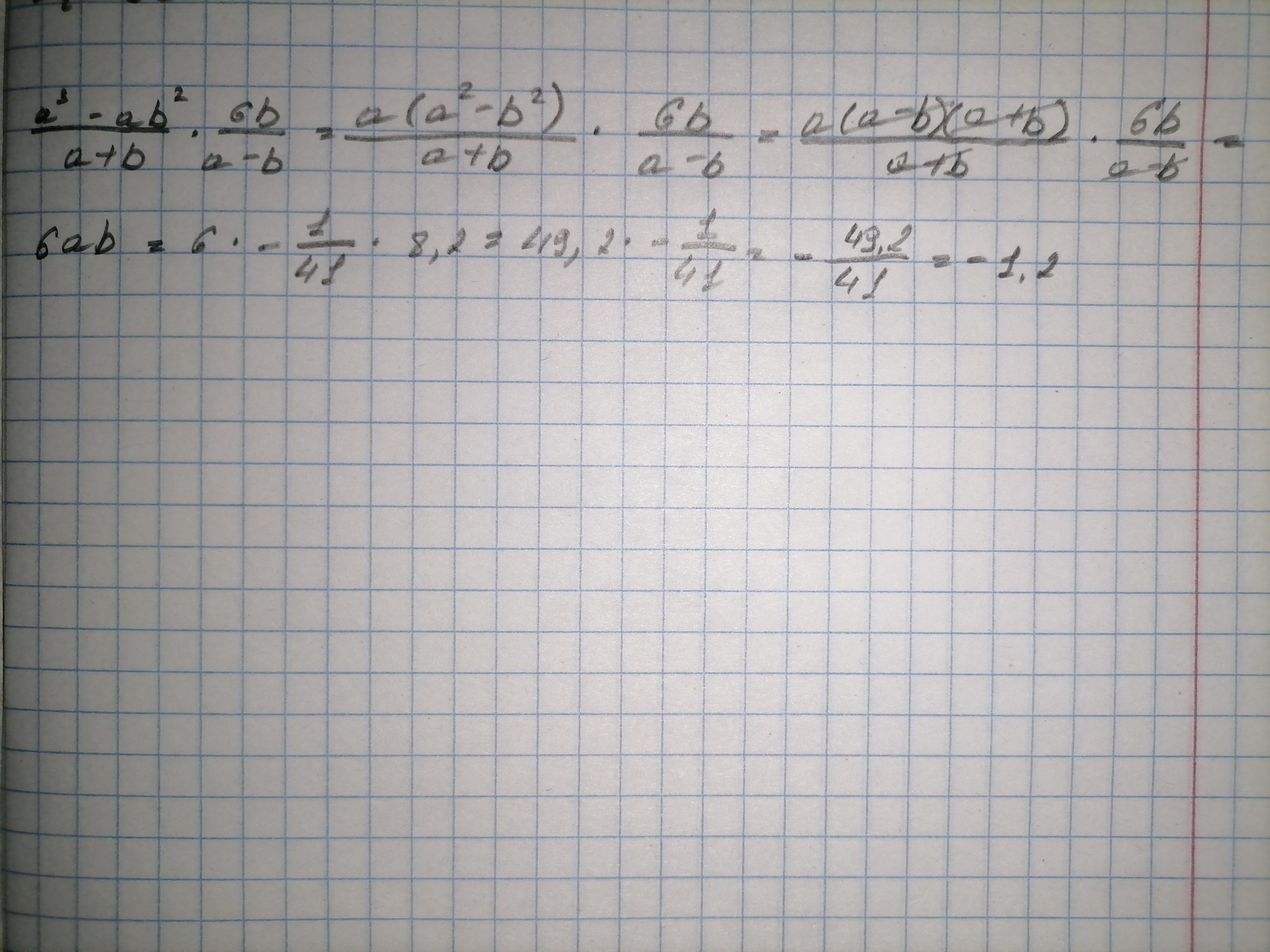
Ответ:
Пошаговое Объяснение:
Приложения:

Вас заинтересует
2 года назад
2 года назад
2 года назад
8 лет назад
9 лет назад