• Предмет: Математика
  • Автор: gauharnetkali123
  • Вопрос задан 3 года назад

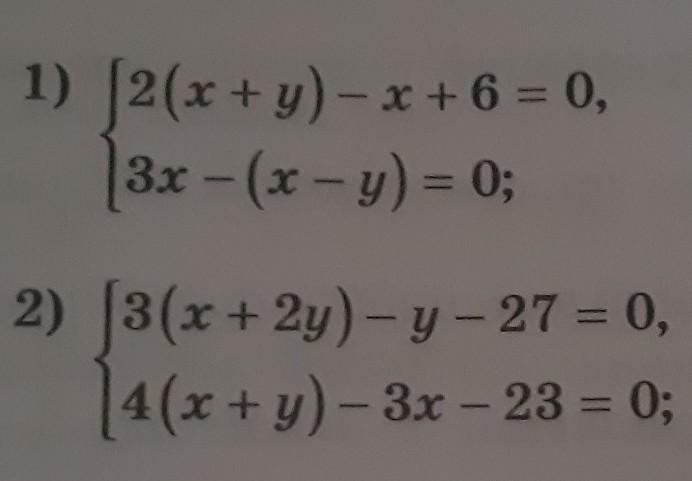
No1427
прошу срочно я уже по времени опоздала прошу помогите быстрее!!!!!!!​

Приложения:

Ответы

Ответ дал: ajganymbakiseva
0

Ответ:

надеюсь понятно и видно

Приложения:

ajganymbakiseva: можно лучший ответ пж
gauharnetkali123: спасибо огромное
gauharnetkali123: хорошо но пока что кнопка ещё не появилась
Ответ дал: BlackFox2030
0

1) 2(х+у)-х+6=0

{ 3х-(х-у)=0

х=-2у-6

{ 3х-(х-у)=0

3(-2у-6)-(-2у-6-у)=0

у=-4

х=-2×(-4)-6

х=2

(х,у)=(2,-4)

2). 3(х+2у)-у-27=0

{ 4(х+у)-3х-23=0

4( -  \frac{5}{3} y + 9 + y) - 3( -  \frac{5}{3} y + 9) - 23 = 0

y = 6

x =  -  \frac{5}{3}   \times 6 + 9

(х,у)=(-1,6)

Вас заинтересует